
नक्सलियों को मारने वाले जवानों की पदोन्नति: हवलदार से बने ASI और सब इंस्पेक्टर, 295 पुलिसकर्मियों का आउट ऑफ टर्म प्रमोशन
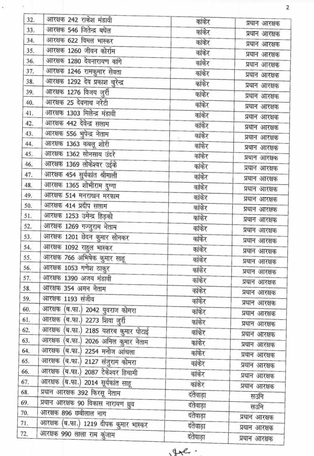
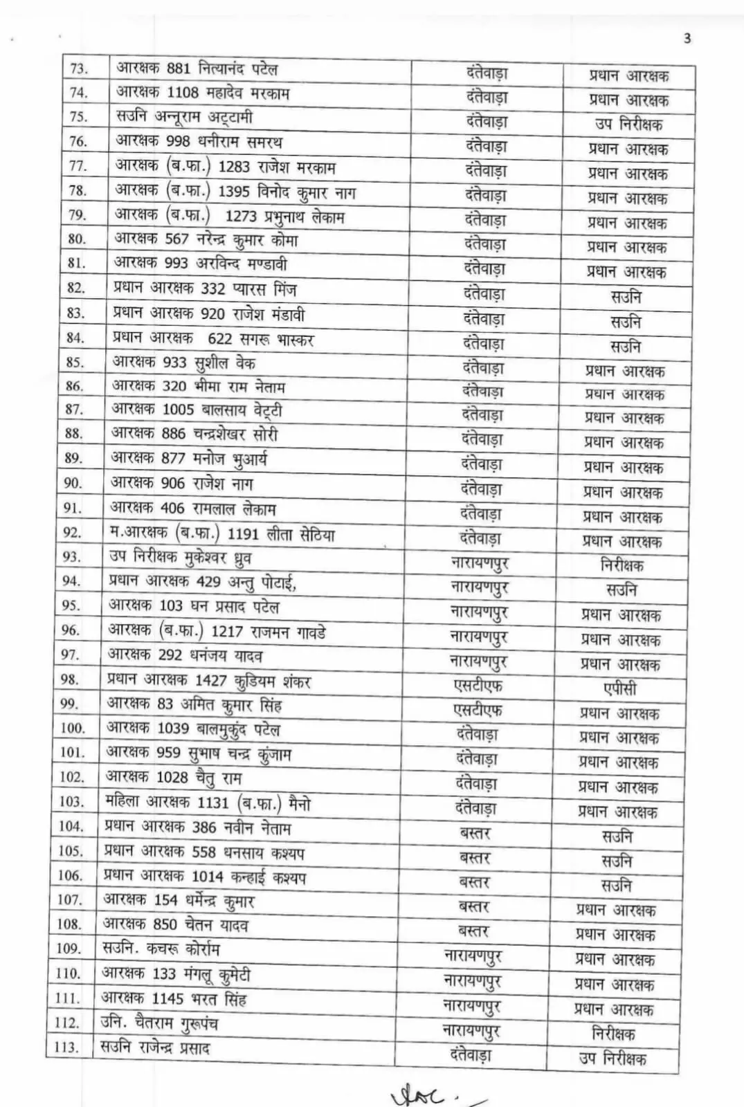
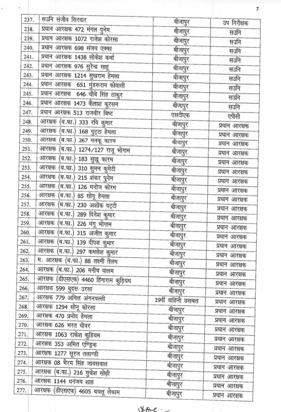
|Soldiers Promotion who killed Naxalites : रायपुर। छत्तीसगढ़ के नक्सल प्रभावित जिलके बस्तर को नक्सल मुक्त बनाने और अबूझमाड़ के जंगलों में नक्सलियों को ढेर करने वाले पुलिसकर्मियों को प्रमोशन दिया गया है। डीजीपी अरुणदेव गौतम ने इसे लेकर आदेश जारी किया है। जिसमें अलग- अलग जिलों में पदस्थ 295 सिपाहियों, हवलदारों, एएसआई और सब इंस्पेक्टरों को आउट ऑफ टर्म प्रमोट किया गया है।
जारी किये गए आदेश में कहा गया है कि नक्सल ऑपरेशंस में बहादुरी दिखाने वाले जवानों को यह प्रमोशन दिया जा रहा है। इसके तहत हवलदार ASI बना दिए गए हैं, कुछ को सब इंस्पेक्टर और इंस्पेक्टर की पोस्ट भी दी गई है।
आदेश में यह भी स्पष्ट कहा गया है कि इनमें से जिन अफसर-जवानों का रिकॉर्ड ठीक नहीं है या गंभीर सजा मिली हुई है, उन्हें प्रमोशन नहीं दिया जाए और डीजीपी कार्यालय को इस संबंध में प्रतिवेदन भेज दिया जाए।
यहाँ देखिये लिस्ट







