
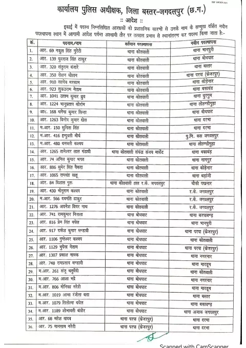
CG Police Transfer: बस्तर में 324 पुलिस कर्मियों का तबादला, 239 आरक्षक और 85 प्रधान आरक्षक शामिल, देखिए पूरी लिस्ट
|324 Police Personnel Transferred in Bastar : रायपुर। छत्तीसगढ़ के बस्तर जिले में पुलिस विभाग ने एक महत्वपूर्ण प्रशासनिक निर्णय लेते हुए 239 आरक्षकों और 85 प्रधान आरक्षकों का तबादला किया है। इस बड़े पैमाने पर तबादले का आदेश जिला पुलिस अधीक्षक (एसपी) शलभ सिन्हा ने जारी किया है।
इस तबादला सूची में कोतवाली, बोधघाट, नगरनार जैसे शहरी थानों में लंबे समय से तैनात पुलिसकर्मियों को अब ग्रामीण क्षेत्रों के थानों में स्थानांतरित किया गया है। इस कदम का मुख्य उद्देश्य पुलिस व्यवस्था में संतुलन, पारदर्शिता और जवाबदेही को बढ़ावा देना है।
शहरी थानों से ग्रामीण क्षेत्रों में पुलिसकर्मियों की तैनाती
सूत्रों के अनुसार, कई आरक्षक और प्रधान आरक्षक लंबे समय से शहरी थानों में तैनात थे, जिसके कारण विभाग में निष्पक्षता और कार्यकुशलता को लेकर सवाल उठ रहे थे। इन सवालों को संबोधित करते हुए, एसपी शलभ सिन्हा ने पुलिस विभाग की कार्यप्रणाली को और अधिक प्रभावी बनाने के लिए यह महत्वपूर्ण निर्णय लिया। इस तबादले के जरिए शहरी थानों से पुलिसकर्मियों को हटाकर उन्हें ग्रामीण और दूरदराज के क्षेत्रों में तैनात किया गया है।
यह कदम विशेष रूप से बस्तर जैसे नक्सल प्रभावित जिले में सुरक्षा व्यवस्था को मजबूत करने के लिए उठाया गया है। ग्रामीण क्षेत्रों में पुलिस की उपस्थिति बढ़ाने से न केवल अपराध नियंत्रण में मदद मिलेगी, बल्कि नक्सल प्रभावित क्षेत्रों में भी सुरक्षा और विश्वास का माहौल बनेगा।
पुलिस विभाग ने इस तबादला प्रक्रिया की पूरी सूची को जल्द ही विभागीय नोटिस बोर्ड और आधिकारिक वेबसाइट पर प्रकाशित करने का निर्णय लिया है। इससे सभी संबंधित पुलिसकर्मी अपनी नई तैनाती की जानकारी प्राप्त कर सकेंगे और समय पर अपने नए कार्यस्थल पर योगदान दे सकेंगे। यह पारदर्शी प्रक्रिया विभाग की कार्यप्रणाली में विश्वास और अनुशासन को बढ़ाने में मदद करेगी।
तबादले का उद्देश्य
यह तबादला आदेश पुलिस विभाग में जवाबदेही और कार्यकुशलता को बढ़ाने के लिए एक रणनीतिक कदम है। लंबे समय तक एक ही स्थान पर तैनात रहने वाले पुलिसकर्मियों के तबादले से न केवल कार्य संस्कृति में बदलाव आएगा, बल्कि ग्रामीण क्षेत्रों में पुलिसिंग को और प्रभावी बनाया जा सकेगा। विशेष रूप से नक्सल प्रभावित क्षेत्रों में यह कदम सुरक्षा व्यवस्था को मजबूत करने में महत्वपूर्ण साबित हो सकता है।
इसके अलावा, यह तबादला प्रक्रिया पुलिसकर्मियों को नए क्षेत्रों में काम करने का अवसर प्रदान करेगी, जिससे उनकी कार्यक्षमता और अनुभव में वृद्धि होगी। माना जा रहा है कि, यह कदम बस्तर जिले में पुलिस प्रशासन को और अधिक गतिशील और उत्तरदायी बनाने में सहायक होगा।
यहाँ देखिये पूरी लिस्ट
प्रधान आरक्षकों की लिस्ट..



आरक्षकों की लिस्ट






